Постановление Правительства Тюменской области от 28.12.2022 N 1019-п "О внесении изменения в постановление от 03.12.2018 N 454-п"

ПРАВИТЕЛЬСТВО ТЮМЕНСКОЙ ОБЛАСТИ
ПОСТАНОВЛЕНИЕ
28 декабря 2022 г. | N | 1019-п |
г. Тюмень
О внесении изменения в постановление от 03.12.2018 N 454-п |
|
1. В постановление Правительства Тюменской области от 03.12.2018 N 454-п "Об утверждении государственной программы Тюменской области «Развитие физической культуры, спорта и дополнительного образования» и признании утратившими силу некоторых нормативных правовых актов» внести следующее изменение:
приложение к постановлению изложить в редакции согласно приложению к настоящему постановлению.
2. Настоящее постановление вступает в силу с 01.01.2023.
Губернатор области А.В. Моор
| Приложение к постановлению Правительства Тюменской области от 28 декабря 2022 г. N 1019-п |
ПАСПОРТ ГОСУДАРСТВЕННОЙ ПРОГРАММЫ ТЮМЕНСКОЙ ОБЛАСТИ
Наименование программы | Развитие физической культуры, спорта и дополнительного образования |
Сроки реализации программы | 2019-2025 годы |
Ответственный исполнитель программы | Департамент физической культуры, спорта и дополнительного образования Тюменской области (ДФКСиДО ТО) |
Соисполнители программы | Главное управление строительства Тюменской области (ГУС ТО) Департамент социального развития Тюменской области (ДСР ТО) Департамент имущественных отношений Тюменской области (ДИО ТО) |
Связь с документом стратегического планирования Тюменской области | Стратегия социально-экономического развития Тюменской области до 2030 года, утвержденная Законом Тюменской области от 24.03.2020 N 23 "Об утверждении Стратегии социально-экономического развития Тюменской области до 2030 года». Стратегическая цель - устойчивый рост уровня и качества жизни населения на основе инновационного развития экономики и эффективного использования природно-экономического, производственного, научно-технического, кадрового потенциала и конкурентных преимуществ, совершенствования пространственной организации региона. Приоритет 1 – Человек. Высокое качество жизни населения и человеческий капитал. Цель 1.2. - Развитие человеческого капитала. Развитие человеческого капитала, обеспечивающего конкурентоспособность Тюменской области и создание новых форматов качества и образа жизни. Задача 1.2.2. - Здоровый образ жизни. Создание условий, стимулирующих граждан к ведению здорового образа жизни. Задача 1.2.4. - Образование. Обеспечение высокого качества образования, развития системы поиска, поддержки и удержания талантов |
Цели программы | 1. Создание условий, обеспечивающих возможность гражданам систематически заниматься физической культурой и спортом путем развития инфраструктуры спорта, популяризации массового спорта, подготовки спортивного резерва и спорта высших достижений и приобщения различных слоев общества к регулярным занятиям физической культурой и спортом 2. Создание условий для воспитания гармонично развитой и социально ответственной личности |
Приложение N 3
к паспорту государственной программы Тюменской области
ПОРЯДОК
ПРЕДОСТАВЛЕНИЯ И РАСПРЕДЕЛЕНИЯ СУБСИДИЙ ИЗ ОБЛАСТНОГО
БЮДЖЕТА МЕСТНЫМ БЮДЖЕТАМ НА СОФИНАНСИРОВАНИЕ РАСХОДНЫХ ОБЯЗАТЕЛЬСТВ МУНИЦИПАЛЬНЫХ ОБРАЗОВАНИЙ НА ОСНАЩЕНИЕ ОБЪЕКТОВ СОЦИАЛЬНОЙ ИНФРАСТРУКТУРЫ, НЕОБХОДИМЫХ ДЛЯ РЕШЕНИЯ ОТДЕЛЬНЫХ ВОПРОСОВ МЕСТНОГО ЗНАЧЕНИЯ, В СФЕРАХ ФИЗИЧЕСКАЯ КУЛЬТУРА, СПОРТ И ДОПОЛНИТЕЛЬНОЕ ОБРАЗОВАНИЕ В РАМКАХ ГОСУДАРСТВЕННОЙ
ПРОГРАММЫ ТЮМЕНСКОЙ ОБЛАСТИ "РАЗВИТИЕ ФИЗИЧЕСКОЙ КУЛЬТУРЫ, СПОРТА И ДОПОЛНИТЕЛЬНОГО ОБРАЗОВАНИЯ"
(ДАЛЕЕ - ПОРЯДОК)
1. Общие положения
1.1. Настоящий Порядок устанавливает порядок и условия предоставления и распределения субсидий из областного бюджета местным бюджетам на софинансирование расходных обязательств муниципальных образований на оснащение объектов социальной инфраструктуры, необходимых для решения отдельных вопросов местного значения, в сферах физическая культура, спорт и дополнительное образование в рамках государственной программы "Развитие физической культуры, спорта и дополнительного образования" (далее - субсидии, Программа), а также критерии отбора муниципальных образований для предоставления субсидий и их распределения между муниципальными образованиями, в соответствии с Правилами формирования, предоставления и распределения субсидий из областного бюджета местным бюджетам, утвержденными постановлением Правительства Тюменской области от 27.12.2019 N 561-п (далее - Правила).
1.2. Субсидии предоставляются в целях оказания финансовой поддержки при исполнении расходных обязательств, возникающих при выполнении муниципальными образованиями полномочий по вопросам местного значения, связанных с реализацией мероприятий по оснащению объектов социальной инфраструктуры, необходимых для решения отдельных вопросов местного значения, в сферах физическая культура, спорт и дополнительное образование основными средствами, материальными запасами и программным обеспечением, включая расходы по доставке, установке, монтажу, выполнению пусконаладочных работ (далее - Имущество).
Под объектами социальной инфраструктуры в сферах физическая культура, спорт и дополнительное образование понимаются учтенные в реестре муниципальной собственности здания, строения, сооружения, в которых расположены муниципальные учреждения, предоставляющие гражданам и юридическим лицам услуги в сферах физическая культура, спорт и дополнительное образование (далее - Объекты).
1.3. Субсидии предоставляются в пределах бюджетных ассигнований, предусматриваемых в Законе об областном бюджете на очередной финансовый год и плановый период на финансирование мероприятий Программы, реализуемой Департаментом физической культуры, спорта и дополнительного образования Тюменской области (далее - Департамент), и утвержденных лимитов бюджетных обязательств, утвержденных Департаменту в соответствии с Порядком составления и ведения сводной бюджетной росписи областного бюджета и бюджетных росписей главных распорядителей средств областного бюджета.
1.4. Органом, уполномоченным на предоставление субсидий, предусмотренных абзацем 1 пункта 1.2 настоящего Порядка, является Департамент.
1.5. Для отбора заявок муниципальных образований Департамент создает комиссию по отбору указанных заявок (далее - Комиссия), которая утверждается соответствующим приказом.
1.6. Субсидии предоставляются по результатам отбора заявок, представленных муниципальными образованиями в Департамент.
Отбор заявок муниципальных образований для предоставления субсидий в очередном финансовом году и плановом периоде, начиная с формирования и исполнения бюджета на 2021 год и плановый период 2022 и 2023 годов, осуществляется в сроки, установленные Правилами.
Муниципальное образование вправе в любой момент до принятия решения о выделении средств отозвать заявку путем направления в Департамент соответствующего уведомления об отзыве заявки, подписанного главой администрации муниципального образования либо лицом, уполномоченным на его подписание.
Заявка считается отозванной и рассмотрение заявки прекращается со дня получения Департаментом уведомления об отзыве заявки.
1.7. Основаниями для отказа в предоставлении субсидии являются:
а) несоблюдение муниципальным образованием условий и (или) несоответствие критериям предоставления субсидии, установленным настоящим Порядком;
б) несоответствие заявки и приложенных к ней документов требованиям настоящего Порядка;
в) противоречия в сведениях, содержащихся в представленных заявке и приложенных к ней документах, наличие в заявке и (или) приложенных к ней документах недостоверных сведений (под недостоверными сведениями понимается наличие в содержании представленных для получения субсидии документах информации, не соответствующей действительности);
г) несоответствие Объектов и (или) Имущества, предлагаемых муниципальным образованием для финансирования с использованием средств субсидий, требованиям, установленным настоящим Порядком.
д) отсутствие бюджетных ассигнований в областном бюджете на предоставление субсидий местным бюджетам;
е) отсутствие и (или) недостаточность лимитов бюджетных обязательств на соответствующее мероприятие Программы.
2. Условия предоставления субсидий
2.1. Условиями предоставления субсидий являются:
а) наличие в бюджете муниципального образования (сводной бюджетной росписи) бюджетных ассигнований на исполнение расходных обязательств муниципального образования, в целях софинансирования которых предоставляется субсидия, в объеме, определенном в соответствии с предельным объемом софинансирования, утверждаемым Правительством Тюменской области;
б) заключение соглашения между Департаментом и муниципальным образованием о предоставлении субсидии в соответствии с Правилами (далее - соглашение).
2.2. Соглашение и дополнительные соглашения к соглашению, предусматривающие внесение в него изменений и его расторжение, заключаются в соответствии с пунктом 9 Правил и типовой формой соглашения, утвержденной Департаментом финансов Тюменской области.
Соглашение заключается после доведения до муниципального образования уведомления о предоставлении субсидии (ф. 0504817) в порядке, установленном Департаментом финансов Тюменской области.
Заключение соглашений о предоставлении субсидий местным бюджетам, предусмотренных законом об областном бюджете на очередной финансовый год и плановый период, осуществляется до 15 февраля очередного финансового года, за исключением соглашений о предоставлении субсидий, бюджетные ассигнования на предоставление которых предусмотрены в соответствии с законом о внесении изменений в закон об областном бюджете на очередной финансовый год и плановый период и которые заключаются не позднее 30 календарных дней после дня вступления в силу указанного закона.
Соглашение о предоставлении субсидии заключается на срок, который не может быть менее срока, на который в установленном порядке утверждено распределение субсидий между муниципальными образованиями.
В случае нарушения сроков, предусмотренных абзацем третьим настоящего пункта, бюджетные ассигнования, предусмотренные на текущий финансовый год на соответствующие цели, направляются на увеличение бюджетных ассигнований резервного фонда Правительства Тюменской области для оказания финансовой помощи местным бюджетам в размере субсидии, в отношении которой не заключено соглашение о ее предоставлении из областного бюджета, в порядке, установленном высшим исполнительным органом государственной власти субъекта Российской Федерации.
Проект Соглашения готовится Департаментом и подписывается его руководителем либо лицом, уполномоченным на его подписание, электронной подписью в течение 10 рабочих дней со дня доведения до муниципального образования уведомления, указанного в абзаце 2 пункта 2.2 настоящего Порядка.
Подписанное Соглашение направляется муниципальному образованию не позднее одного рабочего дня со дня его подписания электронной подписью руководителем Департамента либо лицом, уполномоченным на его подписание.
В течение 5 рабочих дней со дня поступления Соглашения в муниципальное образование Глава муниципального образования либо лицо, уполномоченное на его подписание, подписывает Соглашение электронной подписью, после чего Соглашение направляется в Департамент.
В случае неподписания Соглашения Главой муниципального образования либо лицом, уполномоченным на его подписание, субсидия муниципальному образованию не предоставляется.
Ответственность за нарушение сроков подписания Соглашения несет муниципальное образование.
Соглашение о предоставлении субсидии заключается между Департаментом и муниципальным образованием в электронной форме с использованием электронной подписи посредством системы электронного документооборота и делопроизводства (типовой маршрут "Обмен задачами между ИОГВ ТО, ОМСУ ТО и ПУ") (далее - СЭД).
Внесение в соглашение изменений, предусматривающих ухудшение значения результата использования субсидии, а также увеличение сроков реализации предусмотренных соглашением мероприятий не допускается, за исключением случаев:
если выполнение условий предоставления субсидии оказалось невозможным вследствие обстоятельств непреодолимой силы, изменение значений показателей региональных проектов;
изменения значений целевых показателей Программы, а также в случае существенного (более чем на 20 процентов) сокращения размера субсидии.
2.3. Перечисление субсидий осуществляется не позднее 5 рабочих дней со дня предоставления муниципальных контрактов (договоров) на поставку товаров, выполнение работ, оказание услуг и осуществления закупок по указанным контрактам (договорам) с учетом порядка оплаты, предусмотренного указанными контрактами (договорами), за исключением случаев выделения субсидий бюджетам муниципальных образований Тюменской области, источником финансового обеспечения которых являются средства федерального бюджета, а также субсидий на реализацию региональных проектов, обеспечивающих достижение целей, показателей и результатов федеральных проектов, входящих в состав национальных проектов, а также на содействие исполнения отдельных расходных обязательств по решению вопросов местного значения.
3. Критерии отбора муниципальных образований для предоставления субсидий (за исключением субсидий на реализацию инициативных проектов), перечень документов, необходимых для предоставления субсидии, и сроки их предоставления
3.1. Отбор заявок муниципальных образований на предоставление субсидий в очередном финансовом году (плановый период), соответствующих требованиям настоящего Порядка, осуществляется Департаментом ежегодно по следующим критериям:
- наличие потребности в софинансировании оснащения Объектов Имуществом;
- соответствие запрашиваемого Имущества профилю деятельности учреждения, в отношении которого планируется оснащение Имуществом;
- соответствие запрашиваемого Имущества требованиям к потребительским свойствам и иным характеристикам товаров, установленным соответствующим муниципальным нормативным правовым актом, а в случае отсутствия такого акта - требованиям, установленным постановлением Правительства Тюменской области (применяется только в случае если на муниципальном или областном уровнях утверждены требования к потребительским свойствам и иным характеристикам товаров, и имущество, указанное в заявке, входит в перечень данных товаров).
3.2. Для получения субсидии на софинансирование расходных обязательств, указанных в абзаце 1 пункта 1.2 настоящего Порядка, муниципальное образование представляет в Департамент следующие документы:
а) заявка о предоставлении субсидии за подписью главы администрации муниципального образования или лица, уполномоченного на ее подписание, содержащая следующую информацию:
- цели использования субсидии;
- наименование Объекта, в отношении которого планируется оснащение Имуществом;
- обоснование потребности в оснащении Имуществом;
- необходимый размер субсидии;
- перечень прилагаемых документов.
б) выписка из реестра муниципального имущества.
в) спецификация запрашиваемого Имущества с указанием технических характеристик, количества, стоимости за единицу и общей суммы. В отношении имущества, требующего замены - наименование, дата приобретения, дата постановки на баланс муниципального учреждения, нормативный и фактический сроки эксплуатации, а также гарантийный срок поставщика имущества, со ссылками при наличии на акты списания.
г) фотографии Имущества, требующего замены.
д) выписка из решения о бюджете (сводной бюджетной росписи), подтверждающая софинансирование расходных обязательств на оснащение Объектов Имуществом, по соответствующим разделам, подразделам бюджетной классификации, указанным в заявке.
В случае невозможности отражения муниципальным образованием в заявке какой-либо информации, предусмотренной настоящим Порядком, муниципальное образование обосновывает в заявке невозможность представления соответствующей информации.
3.3. Окончание приема заявок муниципальных образований на предоставление субсидий в очередном финансовом году завершается 30 июня текущего финансового года. Заявки, представленные муниципальными образованиями для участия в отборе заявок, поступившие позже установленного срока, не рассматриваются.
3.4. Комиссия в течение 20 рабочих дней со дня окончания приема заявок принимает решение о соответствии или несоответствии заявки муниципального образования требованиям настоящего Порядка.
В течение указанного срока Комиссия, в целях проверки сведений, указанных в заявке, вправе осуществить осмотр Объекта, в отношении которого имеется потребность в оснащении.
3.5. В случае принятия решения об отказе в предоставлении субсидии, Департамент в течение 7 рабочих дней со дня принятия такого решения, направляет уведомление муниципальному образованию, обратившемуся с соответствующей заявкой, с указанием причин отказа.
4. Методика определения размера субсидий и распределения субсидий между бюджетами муниципальных образований (за исключением субсидий на реализацию инициативных проектов)
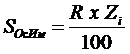
4.1. Размер субсидии определяется исходя из количественной оценки затрат на оснащение Имуществом Объектов, указанных в заявке на предоставление субсидии, с учетом предельного уровня софинансирования расходного обязательства муниципального образования из областного бюджета, определяемого в порядке, установленном Правилами, по следующей формуле:

где:
SосИм - размер субсидии, предоставляемой муниципальному образованию;
R - сумма заявленных расходов на оснащение Объектов Имуществом, предусмотренных пунктом 1.2 настоящего Порядка;
Zi - предельный уровень софинансирования расходного обязательства муниципального образования из областного бюджета по муниципальным образованиям Тюменской области на очередной финансовый год и на плановый период, утвержденный Правительством Тюменской области.
5. Порядок оценки результатов использования субсидий, перечень результатов использования субсидии
5.1. Оценка эффективности использования субсидий осуществляется Департаментом путем сопоставления значений показателей результативности (результатов) использования субсидий, установленных в соглашении, и фактически достигнутых муниципальным образованием по состоянию на 31 декабря года предоставления субсидии, значений показателей результата использования субсидий, предусмотренных пунктом 5.2 настоящего Порядка.
5.2. Для оценки результативности (результатов) использования субсидий используется следующий показатель:
- отношение количества Объектов, в которых проведено оснащение Имуществом, к заявленному количеству Объектов. Значение результата устанавливается соглашением.
5.3. Муниципальное образование обеспечивает предоставление в Департамент отчетов по форме и в сроки, установленные соглашением.
6. Порядок осуществления контроля за соблюдением условий, целей и порядка предоставления субсидий
6.1. Проведение проверок осуществляется Департаментом в целях обеспечения соблюдения получателями субсидий целей и условий их предоставления и расходования в соответствии с соглашением и настоящим Порядком.
6.2. Департамент осуществляет проверки соблюдения получателями субсидий (далее - объект контроля) целей и условий их предоставления и расходования в форме:
а) камеральных проверок, которые проводятся без выезда к месту нахождения объекта контроля в течение 15 рабочих дней со дня получения от объекта контроля в сроки, определенные соглашением, отчета об использовании субсидий, а также документов и материалов, представленных по запросу Департамента. Результаты камеральной проверки оформляются заключением и подписываются руководителем контрольной группы в срок, не превышающий 3 рабочих дней со дня ее окончания. Заключение камеральной проверки в течение 3 рабочих дней со дня его подписания вручается (направляется) представителю объекта контроля. Объект контроля вправе представить письменные возражения и замечания на заключение, оформленное по результатам камеральной проверки, в течение 5 рабочих дней со дня получения заключения. Письменные возражения и замечания объекта контроля проверки приобщаются к материалам проверки;
б) выездных проверок, которые проводятся по месту нахождения объекта контроля. Срок проведения выездной проверки не может превышать 20 рабочих дней со дня начала проверки, установленной приказом. В ходе выездной проверки проводятся контрольные действия по фактическому изучению документов об использовании субсидий и фактического наличия Имущества. Результаты выездной проверки оформляются актом, который подписывается руководителем контрольной группы не позднее дня окончания выездной проверки. Акт проверки в день его подписания вручается (направляется) представителю объекта контроля.
Объект контроля вправе в течение 5 рабочих дней со дня получения акта проверки направить свои возражения и замечания руководителю контрольной группы, которые приобщаются к акту выездной проверки и являются его неотъемлемой частью. Заключение руководителя и (или) участника контрольной группы по поступившим возражениям и замечаниям направляется руководителю объекта контроля в течение 10 рабочих дней со дня получения возражений и замечаний.
6.3. Решение о проведении выездной проверки принимается руководителем Департамента и оформляется приказом, в котором указываются наименование объекта контроля, тема выездной проверки, руководитель и состав должностных лиц, уполномоченных на проведение выездной проверки, срок проведения выездной проверки.
6.4. Основаниями для подготовки приказа о проведении выездной проверки являются:
а) план выездных проверок на очередной финансовый год (далее - План проверок), который утверждается руководителем Департамента;
б) поступившие поручения от Губернатора Тюменской области, Вице-Губернатора Тюменской области, заместителя Губернатора Тюменской области, курирующего соответствующее направление деятельности (внеплановая проверка).
6.5. По результатам проверок объектам контроля направляются предложения по устранению выявленных нарушений, привлечению к ответственности лиц, допустивших нарушения. Предложения направляются за подписью руководителя Департамента в течение 10 рабочих дней со дня подписания заключения камеральной проверки.
Информация объекта контроля о принятых мерах по устранению выявленных в ходе проверки нарушений предоставляется в Департамент не позднее 15 рабочих дней со дня получения предложений об устранении нарушений.
6.6. В случае нарушения условий предоставления Субсидий или неустранения выявленных нарушений, соответствующие средства подлежат возврату в доход областного бюджета в соответствии с бюджетным законодательством Российской Федерации.
6.7. В случае нецелевого использования субсидии и (или) нарушения муниципальным образованием условий ее предоставления, в том числе невозврата муниципальным образованием средств в областной бюджет, к нему применяются бюджетные меры принуждения, предусмотренные бюджетным законодательством.
6.8. В случае невозврата Субсидий взыскание средств производится в судебном порядке в соответствии с законодательством Российской Федерации.
7. Основания и порядок применения мер финансовой ответственности к муниципальным образованиям при невыполнении условий соглашения
7.1. Порядок и условия возврата средств из местного бюджета в областной бюджет в случае нарушения обязательств, предусмотренных соглашением, а также основания для освобождения муниципального образования от применения мер финансовой ответственности установлены Правилами.
7.2. В случае нецелевого использования субсидии и (или) нарушения муниципальным образованием условий ее предоставления, в том числе невозврата муниципальным образованием средств в областной бюджет к муниципальному образованию применяются бюджетные меры принуждения, предусмотренные бюджетным законодательством Российской Федерации.
Решение о приостановлении перечисления (сокращении объема) субсидии местному бюджету не принимается в случае, если условия предоставления субсидии были не выполнены вследствие обстоятельств непреодолимой силы.
8. Порядок и условия внесения изменений в распределение субсидий между бюджетами муниципальных образований на соответствующий финансовый год
8.1. Распределение субсидий между муниципальными образованиями Тюменской области устанавливается законом Тюменской области об областном бюджете на очередной финансовый год и на плановый период.
Перераспределение утвержденных законом об областном бюджете на очередной финансовый год и на плановый период субсидий между бюджетами муниципальных образований возможно в соответствии с распоряжениями Правительства Тюменской области в случаях, предусмотренных Правилами.
Приложение N 4
к паспорту государственной программы Тюменской области
ПОРЯДОК
ПРЕДОСТАВЛЕНИЯ И РАСПРЕДЕЛЕНИЯ СУБСИДИЙ ИЗ ОБЛАСТНОГО
БЮДЖЕТА МЕСТНЫМ БЮДЖЕТАМ НА РЕКОНСТРУКЦИЮ И КАПИТАЛЬНЫЙ РЕМОНТ ОБЪЕКТОВ МУНИЦИПАЛЬНЫХ ОРГАНИЗАЦИЙ В СФЕРАХ ФИЗИЧЕСКАЯ КУЛЬТУРА, СПОРТ И ДОПОЛНИТЕЛЬНОЕ ОБРАЗОВАНИЕ, ВКЛЮЧАЯ БЛАГОУСТРОЙСТВО ИХ ТЕРРИТОРИЙ, ПОДГОТОВКУ (КОРРЕКТИРОВКУ) ПРОЕКТНОЙ ДОКУМЕНТАЦИИ И (ИЛИ) ВЫПОЛНЕНИЕ ИНЖЕНЕРНЫХ ИЗЫСКАНИЙ ДЛЯ ПРОВЕДЕНИЯ РАБОТ ПО РЕКОНСТРУКЦИИ И КАПИТАЛЬНОМУ РЕМОНТУ УКАЗАННЫХ ОБЪЕКТОВ, ПРОВЕДЕНИЮ ГОСУДАРСТВЕННОЙ ЭКСПЕРТИЗЫ ПРОЕКТНОЙ ДОКУМЕНТАЦИИ И (ИЛИ) РЕЗУЛЬТАТОВ ИНЖЕНЕРНЫХ ИЗЫСКАНИЙ, В РАМКАХ ГОСУДАРСТВЕННОЙ ПРОГРАММЫ ТЮМЕНСКОЙ ОБЛАСТИ "РАЗВИТИЕ ФИЗИЧЕСКОЙ КУЛЬТУРЫ, СПОРТА И ДОПОЛНИТЕЛЬНОГО ОБРАЗОВАНИЯ"
1. Общие положения
1.1. Настоящий Порядок устанавливает порядок и условия предоставления и распределения субсидий из областного бюджета местным бюджетам на реконструкцию и капитальный ремонт объектов муниципальных организаций в сферах физическая культура, спорт и дополнительное образование, включая благоустройство их территорий, подготовку (корректировку) проектной документации и (или) выполнение инженерных изысканий для проведения работ по реконструкции и капитальному ремонту указанных объектов, включая благоустройство их территорий, государственную экспертизу проектной документации и (или) результатов инженерных изысканий (далее - субсидии, Порядок), а также критерии отбора муниципальных образований для предоставления субсидий и их распределения между муниципальными образованиями, в соответствии с Правилами формирования, предоставления и распределения субсидий из областного бюджета местным бюджетам, утвержденными постановлением Правительства Тюменской области от 27.12.2019 N 561-п (далее - Правила).
1.2. Субсидии предоставляются в целях оказания финансовой поддержки при исполнении расходных обязательств, возникающих при выполнении органами местного самоуправления полномочий по вопросам местного значения по обеспечению условий для развития на территории муниципального образования физической культуры, школьного спорта и массового спорта, организация проведения официальных физкультурно-оздоровительных и спортивных мероприятий на территориях муниципальных образований, организация предоставления дополнительного образования детей в муниципальных организациях (далее - Организация), связанных с финансовым обеспечением реализации мероприятий по реконструкции и капитальному ремонту объектов Организаций (далее - Объекты), включая благоустройство их территорий, подготовку (корректировку) проектной документации и (или) выполнение инженерных изысканий для проведения работ по реконструкции и капитальному ремонту указанных Объектов, включая благоустройство их территории, государственную экспертизу проектной документации и (или) результатов инженерных изысканий.
1.3. Субсидии предоставляются в пределах бюджетных ассигнований, предусматриваемых в Законе об областном бюджете на очередной финансовый год и плановый период на финансирование соответствующих мероприятий государственной программы Тюменской области "Развитие физической культуры, спорта и дополнительного образования", реализуемых Главным управлением строительства Тюменской области (далее - Управление), и лимитов бюджетных обязательств, утвержденных Управлению в соответствии с порядком составления и ведения сводной бюджетной росписи областного бюджета и бюджетных росписей главных распорядителей средств областного бюджета.
1.4. Ответственным исполнителем государственной программы является Департамент физической культуры, спорта и дополнительного образования Тюменской области (далее - Департамент).
1.5. Соисполнителем государственной программы, главным распорядителем бюджетных средств, предоставляющим субсидию, является Управление.
1.6. Субсидии предоставляются по результатам отбора, на основании заявок, представленных органами местного самоуправления в Департамент.
Отбор муниципальных образований для предоставления субсидий осуществляется на очередной финансовый год и плановый период в сроки, установленные Правилами.
2. Условия предоставления субсидий
2.1. Субсидии предоставляются в пределах бюджетных ассигнований, предусматриваемых в Законе об областном бюджете на соответствующий финансовый год и плановый период и лимитов бюджетных обязательств.
2.2. Условиями предоставления субсидий являются:
1) наличие в местном бюджете бюджетных ассигнований на исполнение расходного обязательства, софинансирование которого осуществляется из областного бюджета, в объеме, определенном в соответствии с предельным объемом софинансирования, утверждаемым Правительством Тюменской области;
2) заключение соглашения между Управлением и органом местного самоуправления о предоставлении субсидии в соответствии с Правилами (далее - Соглашение).
3. Критерии отбора муниципальных образований для предоставления субсидий (за исключением субсидий на реализацию инициативных проектов), перечень документов, необходимых для предоставления субсидии, и сроки их предоставления
3.1. Отбор заявок органов местного самоуправления на предоставление субсидий в очередном финансовом году (плановый период), соответствующих требованиям настоящего Порядка, осуществляется Департаментом ежегодно с формированием реестра объектов, прошедших отбор (далее - реестр) по следующим критериям:
3.1.1. В первую очередь в реестр включаются Объекты, по которым имеются вступившие в законную силу решения суда о проведении реконструкции, капитальному ремонту и благоустройству территории.
При этом первым включается Объект, в отношении которого решение суда вступило в силу ранее по сравнению с решениями суда в отношении других Объектов;
3.1.2. Во вторую очередь в реестр включаются Объекты, по которым имеются представления (предписания) контрольно-надзорных органов, выданных в установленном порядке, срок устранения которых определен в очередном финансовом году или плановом периоде.
При этом первым включается Объект, по которому срок устранения нарушения истекает ранее по сравнению с другими Объектами;
3.1.3. В третью очередь в реестр включаются Объекты, находящиеся в ограниченно работоспособном состоянии, и Объекты, категория технического состояния которых не установлена;
3.1.4. В четвертую очередь в реестр включаются Объекты, находящиеся в работоспособном состоянии, предоставление субсидий по которым необходимо для поддержания объекта в нормативном состоянии (плановый капитальный ремонт).
Во внеочередном порядке для предоставления субсидии осуществляется отбор Объектов муниципальных образований, по которым:
- имеется соответствующее поручение Губернатора Тюменской области о выделении средств (предоставлении субсидии) из областного бюджета;
- получены повреждения (разрушения) в результате последствий пожаров, стихийных бедствий, аварий и (или) в соответствии с результатами обследования (технического заключения) и требуется проведение противоаварийных мероприятий (аварийно-восстановительных работ).
В случае если критерии оценки Объектов, указанных в подпунктах 3.1.1 - 3.1.4 настоящего пункта, совпадают, то Объекты включаются исходя из года ввода в эксплуатацию (первым включается Объект, введенный в эксплуатацию ранее по сравнению с другими Объектами).
В случае если год ввода в эксплуатацию Объектов, указанных в подпунктах 3.1.1 - 3.1.4 настоящего пункта, совпадает, первым включается Объект, общая площадь которого больше по сравнению с общей площадью других Объектов. При этом критерий общей площади Объекта применяется отдельно для Объектов, расположенных в сельской местности, и отдельно для Объектов, расположенных в городах. При выборе очередности между Объектами, расположенными в сельской местности или городах, приоритетным является год ввода в эксплуатацию Объекта или его последней реконструкции.
Отбор Объекта не осуществляется, если по итогам его обследования, требуется проведение детального (инструментального) обследования. Направление заявки и отбор таких Объектов проводится только после проведения детального (инструментального) обследования и установления категории технического состояния.
Оценка технического состояния Объектов проводится в соответствии с межгосударственным стандартом Российской Федерации ГОСТ 31937-2011 "Здания и сооружения. Правила обследования и мониторинга технического состояния", введенным в действие приказом Росстандарта от 27.12.2012 N 1984-ст (далее - ГОСТ 31937-2011).
Под Объектами, категория технического состояния, которых, не установлена, понимаются помещения в составе здания или сооружений, элементы благоустройства территорий.
Под Объектами, категория технического состояния, которых, соответствует работоспособному и ограниченно работоспособному, понимаются здания и (или) сооружения.
3.2. Для отбора заявок органов местного самоуправления Департамент создает комиссию по отбору указанных заявок (далее - Комиссия), которая утверждается соответствующим приказом (за исключением случаев перераспределения утвержденных Законом об областном бюджете на очередной финансовый год и плановый период Субсидий между муниципальными образованиями в соответствии с разделом 10 Порядка).
3.3. Окончание приема заявок органов местного самоуправления на предоставление субсидий в очередном финансовом году и плановый период завершается 30 июня текущего финансового года, а в случае направления заявок на реконструкцию Объектов и подготовку (корректировку) проектной документации и (или) выполнение инженерных изысканий для проведения работ по реконструкции Объектов, предполагаемая (предельная) стоимость реконструкции которых (рассчитанная в ценах соответствующих лет) превышает 200 млн. рублей, прием заявок завершается 01 июня текущего финансового года.
3.4. Документы, представленные органами местного самоуправления для участия в отборе заявок, поступившие позже установленного срока, не рассматриваются.
3.5. Для участия в отборе заявок для предоставления субсидий на софинансирование расходов на проведение работ по реконструкции, капитальному ремонту Объектов Организаций, включая благоустройство их территории, муниципальные образования предоставляют в Департамент следующие документы:
3.5.1. Заявка, подписанная главой администрации муниципального образования или лица, уполномоченного на ее подписание, содержащая следующую информацию:
а) цели использования субсидии;
б) наименование Организации и Объекта, в отношении которого планируется проведение работ по реконструкции, капитальному ремонту и (или) благоустройству с указанием адреса для Объектов капитального строительства, даты постройки, площади Объекта и территории;
в) дата проведения последних работ по реконструкции, капитальному ремонту Объекта, включая благоустройство территории Организации и выполненных при этом видах работ;
г) перечень видов работ по реконструкции, капитальному ремонту Объекта и (или) благоустройству территории Организации, в которых имеется потребность;
д) обоснование потребности в проведении работ по реконструкции, капитальному ремонту Объекта и (или) благоустройству территории Организации, категория технического состояния Объекта;
е) необходимый размер субсидии;
ж) перечень прилагаемых документов (приложений);
3.5.2. Выписка из реестра муниципального имущества.
В отношении благоустройства территорий Организаций предоставляются документы, подтверждающие право муниципальной собственности на земельный участок, или письмо органа местного самоуправления об отсутствии обременения на земельный участок, на котором планируется выполнение работ по благоустройству.
3.5.3. Расчет стоимости проведения работ по реконструкции, капитальному ремонту Объекта и (или) благоустройству территории Организации, составленный по форме приложения к настоящему Порядку.
3.5.4. Заключение Управления о соответствии расчета стоимости выполнения работ утвержденному сводному сметному расчету, в части применения индексов изменения сметной стоимости с учетом индексов фактической инфляции и индексов-дефляторов, составленного по форме, установленной приложением к настоящему Порядку.
Порядок получения указанного заключения установлен разделом 4 настоящего Порядка.
3.5.5. Выписка из решения о бюджете (сводной бюджетной росписи), подтверждающая объем средств, предусмотренных на выполнение полномочий, в рамках которых осуществляется проведение работ и мероприятий, указанных в заявке, по соответствующим разделам, подразделам бюджетной классификации.
3.6. Для участия в отборе заявок для предоставления субсидий на софинансирование расходов на подготовку (корректировку) проектной документации и (или) выполнение инженерных изысканий для проведения работ по реконструкции, капитальному ремонту Объектов Организаций, и (или) благоустройству их территории, государственной экспертизе проектной документации и (или) результатов инженерных изысканий муниципальные образования предоставляют в Департамент следующие документы:
3.6.1. Заявка, подписанная главой администрации муниципального образования или лица, уполномоченного на ее подписание, содержащая следующую информацию:
а) цели использования субсидии;
б) наименование Организации и Объекта, в отношении которого планируется подготовка (корректировка) проектной документации и (или) выполнение инженерных изысканий для проведения работ по реконструкции и капитальному ремонту Объектов Организаций или благоустройству их территории, государственной экспертизе проектной документации и (или) результатов инженерных изысканий, с указанием адреса для Объектов капитального строительства, даты постройки, площади Объекта и территории;
в) дата проведения последних работ по реконструкции, капитальному ремонту Объекта и (или) благоустройству территории Организации, выполненных при этом видах работ;
г) перечень видов проектных (изыскательских) работ, в которых имеется потребность;
д) обоснование потребности в подготовке (корректировке) проектной документации и (или) выполнении инженерных изысканий, государственной экспертизе проектной документации и (или) результатов инженерных изысканий, категория технического состояния Объекта;
е) необходимый размер субсидии;
ж) перечень прилагаемых документов (приложений);
3.6.2. Выписка из реестра муниципального имущества.
В отношении благоустройства территорий Организаций предоставляются документы, подтверждающие право муниципальной собственности на земельный участок, или письмо органа местного самоуправления об отсутствии обременения на земельный участок, на котором планируется выполнение работ по благоустройству.
3.6.3. Фотографии Объекта в целом и его части и (или) отдельных элементов Объекта, требующих проведения работ по реконструкции, капитальному ремонту или благоустройству территории.
3.6.4. Заключение Управления о соответствии сметной стоимости проектных и (или) изыскательских работ заданию на проектирование объекта капитального строительства, сметным нормативам внесенным в федеральный реестр сметных нормативов и иным нормативным правовым актам.
Порядок получения указанного заключения установлен разделом 4 настоящего Порядка.
3.6.5. Выписка из решения о бюджете (сводной бюджетной росписи), подтверждающая объем средств, предусмотренных на выполнение полномочий, в рамках которых осуществляется проведение работ и мероприятий, указанных в заявке.
Обоснование потребности, а также перечень прилагаемых документов о потребности в проведении реконструкции, капитального ремонта и (или) благоустройства территории начиная с 2021 года в обязательном порядке должны содержать результаты обследования (категорию технического состояния Объекта), проведенного специализированной организацией в соответствии с межгосударственным стандартом Российской Федерации ГОСТ 31937-2011.
В случае наличия оснований для проведения отбора Объекта во внеочередном порядке, указанного в пункте 3.1 настоящего Порядка, муниципальные образования предоставляют в составе заявки соответствующие обосновывающие документы.
Документ, предусмотренный подпунктом 3.6.3 пункта 3.6 настоящего Порядка, не представляется в случае подачи заявки на подготовку (корректировку) проектной документации и (или) выполнение инженерных изысканий для проведения работ по реконструкции и капитальному ремонту подземных сооружений, государственной экспертизы проектной документации и (или) результатов инженерных изысканий указанных Объектов.
В случаях, когда сметная стоимость или предполагаемая (предельная) стоимость реконструкции Объекта (рассчитанная в ценах соответствующих лет) превышает 200 млн. рублей, муниципальное образование в заявлении предоставляет дополнительные обосновывающие сведения эффективности использования средств областного бюджета, направляемых на капитальные вложения, по критериям, указанным в пункте 4 Порядка, утвержденного постановлением Правительства Тюменской области от 04.07.2016 N 284-п "О порядке формирования перечня Объектов, строительство и реконструкцию которых планируется осуществить полностью или частично за счет средств областного бюджета, порядке проведения проверки инвестиционных проектов на предмет эффективности использования средств областного бюджета, направляемых на капитальные вложения, и о внесении изменений в некоторые нормативные правовые акты".
3.7. Департамент в течение 20 рабочих дней со дня окончания приема заявок принимает решение о соответствии или несоответствии заявки муниципального образования требованиям настоящего Порядка.
В течение указанного срока Департамент, в целях проверки сведений, указанных в заявке, вправе осуществить осмотр Объекта, в отношении которого имеется потребность в проведении работ и (или) мероприятий, указанных в заявке.
В случае, когда предполагаемая (предельная) сметная стоимость реконструкции Объекта, подготовка (корректировка) проектной документации и (или) выполнение инженерных изысканий для проведения работ по реконструкции Объекта (рассчитанная в ценах соответствующих лет) не превышает 200 млн. рублей, решение Департамента о соответствии или несоответствии заявки муниципального образования требованиям настоящего Порядка является соответственно положительным решением об отборе заявки муниципального образования или отказом от принятия положительного решения об отборе заявки муниципального образования.
В случае, когда предполагаемая (предельная) сметная стоимость реконструкции Объекта, подготовка (корректировка) проектной документации и (или) выполнение инженерных изысканий для проведения работ по реконструкции Объекта (рассчитанная в ценах соответствующих лет) превышает 200 млн. рублей, Департамент в течение 3 рабочих дней после принятия решения о соответствии заявки муниципального образования требованиям настоящего Порядка осуществляет подготовку обращения в Департамент экономики Тюменской области на предмет проверки инвестиционного проекта, предусматривающего проведение указанных мероприятий, на предмет эффективности использования средств областного бюджета, направляемых на капитальные вложения, в соответствии с порядком, утвержденным постановлением Правительства Тюменской области от 04.07.2016 N 284-п "О порядке формирования перечня Объектов, строительство и реконструкцию которых планируется осуществить полностью или частично за счет средств областного бюджета, порядке проведения проверки инвестиционных проектов на предмет эффективности использования средств областного бюджета, направляемых на капитальные вложения, и о внесении изменений в некоторые нормативные правовые акты".
В течение 7 рабочих дней со дня получения заключения Департамента экономики Тюменской области, содержащее выводы о соответствии (положительное заключение) или несоответствии (отрицательное заключение) инвестиционного проекта обоим критериям, установленным в пункте 4 порядка проведения проверки инвестиционных проектов на предмет эффективности использования средств областного бюджета, направляемых на капитальные вложения, утвержденного постановлением Правительства Тюменской области от 04.07.2016 N 284-п "О порядке формирования перечня Объектов, строительство и реконструкцию которых планируется осуществить полностью или частично за счет средств областного бюджета, порядке проведения проверки инвестиционных проектов на предмет эффективности использования средств областного бюджета, направляемых на капитальные вложения, и о внесении изменений в некоторые нормативные правовые акты", Департамент принимает соответственно положительное решение об отборе заявки муниципального образования или отказ от принятия положительного решения об отборе заявки муниципального образования.
Принятие решений по результатам отбора заявок муниципальных образований завершается Департаментом не позднее 1 августа текущего финансового года, решения оформляются протоколом(-ми) Комиссии.
3.8. Основания для принятия решения о несоответствии заявки муниципального образования требованиям настоящего Порядка:
3.8.1. Несоблюдение муниципальным образованием условий и (или) несоответствие критериям предоставления субсидии, установленным настоящим Порядком;
3.8.2. Несоответствие заявки и приложенных к ней документов требованиям настоящего Порядка;
3.8.3. Противоречия в сведениях, содержащихся в представленных заявке и приложенных к ней документах, наличие в заявке и (или) приложенных к ней документах недостоверных сведений (под недостоверными сведениями понимается наличие в содержании представленных для получения субсидии документах информации, не соответствующей действительности);
3.8.4. Несоответствие Объектов (работ, мероприятий, имущества), предлагаемых муниципальным образованием для финансирования с использованием субсидий, требованиям, установленным настоящим Порядком;
3.9. В случае принятия решения об отказе в положительном решении об отборе заявки муниципального образования, Департамент в течение 7 рабочих дней со дня принятия такого решения направляет уведомление муниципальному образованию, обратившемуся с соответствующей заявкой, с указанием причин отказа.
3.10. В случае принятия положительного решения об отборе заявки муниципального образования, Департамент в течение 7 рабочих дней со дня принятия такого решения направляет соответствующее уведомление в адрес органов местного самоуправления.
3.11. После определения в соответствии с настоящим Порядком объемов субсидий муниципальным образованиям, Итоговый перечень муниципальных образований с указанием мероприятий, Объектов с отражением ранга, присвоенного в соответствии с критериями, указанными в пункте 3.1 настоящего Порядка, и объемов средств, необходимых для их реализации, не позднее 3 рабочих дней со дня его формирования на основании данных протокола (-ов) комиссии направляется Департаментом для согласования в Управление.
Управление в срок не позднее 7 рабочих дней, до срока установленного Планом основных мероприятий по составлению проекта закона Тюменской области об областном бюджете на очередной финансовый год и плановый период, утвержденным Правительством Тюменской области, направляет согласованный перечень в Департамент для включения в проект закона об областном бюджете на очередной финансовый год и плановый период, либо мотивированный отказ от согласования данного перечня и предложения по его корректировке.
3.12. Муниципальное образование вправе в любой момент до принятия положительного решения об отборе заявки муниципального образования отозвать ее путем направления в Департамент уведомления об отзыве заявки, подписанного главой администрации муниципального образования. Заявка считается отозванной и рассмотрение заявки прекращается со дня получения Департаментом уведомления об отзыве заявки.
4. Порядок получения муниципальными образованиями заключения Управления
4.1. Для получения заключения, предусмотренного подпунктом 3.5.4 пункта 3.5 настоящего Порядка, муниципальным образованием представляется заявление в адрес Управления о необходимости получения данного заключения с приложением следующих документов:
- Заявка, подписанная главой администрации муниципального образования или лица, уполномоченного на ее подписание, предусмотренная подпунктом 3.5.1 пункта 3.5 настоящего Порядка;
- Сводный сметный расчет стоимости работ по реконструкции, капитальному ремонту Объекта, и (или) благоустройство территории Организации, составленный в базовом и текущем уровне цен с указанием примененных индексов изменения сметной стоимости, в соответствии с действующим законодательством;
- Расчет стоимости проведения работ по реконструкции, капитальному ремонту Объекта и (или) благоустройству территории Организации, составленный по форме, установленной приложением к настоящему Порядку;
- Положительное заключение государственной экспертизы проектной документации и (или) инженерных изысканий;
- Положительное заключение о достоверности определения сметной стоимости работ, указанных в заявке, за исключением случая представления положительного заключения государственной экспертизы проектной документации, содержащего оценку сметной стоимости указанных работ.
Положительное заключение государственной экспертизы проектной документации и (или) инженерных изысканий не представляется в случае если в соответствии с действующим федеральным законодательством на Объект, указанный в заявке, распространяются положения действующего федерального законодательства, предусматривающие случаи, когда государственная экспертиза проектной документации и (или) результатов инженерных изысканий не проводится. В случае непредставления названного документа муниципальным образованием в заявке отражается основание его непредставления.
Положительное заключение о достоверности определения сметной стоимости работ не представляется в случае, если в соответствии с законодательством в отношении работ, указанных в заявке, не предусмотрено проведение проверки достоверности определения сметной стоимости.
В случае направления заявки на софинансирование расходов по Объекту на очередной финансовый год и плановый период, заявка также должна содержать предложения по распределению заявленных средств по годам.
4.2. Для получения заключения, предусмотренного подпунктом 3.6.4 пункта 3.6 настоящего Порядка, муниципальным образованием в адрес Управления представляется заявление о необходимости получения данного заключения с приложением следующих документов:
4.2.1. Заявка, подписанная главой администрации муниципального образования или лица, уполномоченного на ее подписание, предусмотренная подпунктом 3.6.1 пункта 3.6 настоящего Порядка;
4.2.2. Задание на проектирование объекта капитального строительства;
4.2.3. Документ об утверждении проектной документации;
4.2.4. Перечень видов проектных и (или) изыскательских работ, в которых имеется потребность;
4.2.5. Смета на проектные и (или) изыскательские работы;
4.2.6. Расчет размера платы за проведение государственной экспертизы проектной документации и (или) результатов инженерных изысканий;
Документ, предусмотренный настоящим подпунктом, предоставляется только в случае наличия потребности в софинансировании расходов на проведение государственной экспертизы проектной документации и (или) результатов инженерных изысканий, документ, предусмотренный подпунктом 4.2.3 пункта 4.2 настоящего Порядка, - в случае наличия потребности в софинансировании расходов на корректировку проектной документации и (или) проведение государственной экспертизы проектной документации при корректировке проектной документации.
5. Методика определения объема субсидий и распределения субсидий между бюджетами муниципальных образований (за исключением субсидий на реализацию инициативных проектов)
5.1. Размер субсидии планируемой к предоставлению по j-му Объекту i-го муниципального образования по результатам отбора, определяется в отношении каждого Объекта муниципального образования по формуле:

где:
- сумма заявленных расходов на реализацию мероприятий, предусмотренных пунктом 1.2 настоящего Порядка, по j-му Объекту i-го муниципального образования;
Zi - предельный уровень софинансирования расходного обязательства i-го муниципального образования из областного бюджета на очередной финансовый год и плановый период, утвержденный Правительством Тюменской области.
5.2. Размер субсидии (Si), предоставляемой i-му муниципальному образованию, определяется по формуле:
при условии, что ![]()
где:
- сумма субсидии по j-му Объекту i-го муниципального образования, по которому с учетом ранга, присвоенного по результатам отбора, и общей суммы субсидий, предусмотренных проектом областного бюджета на соответствующий год, принято решение о предоставлении субсидии;
S - предусмотренная проектом Закона областного бюджета на соответствующий год сумма субсидий на софинансирование реализации мероприятий, предусмотренных пунктом 1.2 настоящего Порядка.
5.3. Распределение субсидий по Объектам осуществляется в пределах общей суммы (S), начиная с Объекта, которому присвоен высший ранг в соответствии с критериями, предусмотренными пунктом 3.1 настоящего Порядка.
В случае превышения суммы субсидии по следующему по рангу Объекту над суммой нераспределенного остатка субсидий муниципальное образование имеет право:
- осуществить реализацию мероприятий по данному Объекту, предусмотрев дополнительное финансирование за счет средств местного бюджета;
- отказаться от предоставления субсидии.
В случае отказа муниципального образования от предоставления субсидии, распределение продолжается по следующему по рангу Объекту.
6. Порядок заключения Соглашения о предоставлении субсидии из областного бюджета бюджету муниципального образования
6.1. Соглашение заключается Управлением и муниципальным образованием в электронной форме с использованием электронной подписи посредством системы электронного документооборота и делопроизводства (типовой маршрут "Обмен задачами между ИОГВ ТО, ОМСУ ТО и ПУ") (далее - СЭД).
Соглашение заключается в соответствии с требованиями пункта 9 Правил и типовой формой соглашения, утвержденной Департаментом финансов Тюменской области.
6.2. Соглашение также должно содержать:
- условие о направлении в течение 5 рабочих дней Управлению копий заключенных муниципальных контрактов (договоров) на оказание услуг, выполнение работ для муниципальных нужд;
- условие о перечислении средств в бюджеты соответствующих муниципальных образований с учетом порядка оплаты, предусмотренного муниципальным(-и) контрактом(-и) или договором(-ми) по результатам процедуры определения поставщика (подрядчика, исполнителя) при осуществлении закупок товаров, работ, услуг для обеспечения муниципальных нужд;
- условие о перечислении субсидий, предоставляемых из областного бюджета в бюджеты муниципальных районов для предоставления субсидий, имеющих целевое назначение, в бюджеты сельских поселений, в случае софинансирования расходного обязательства, выполняемого органами местного самоуправления сельских поселений и обязательство муниципального района по заключению соглашения о предоставлении субсидий, имеющих целевое назначение, с сельским поселением.
6.3. Соглашение о предоставлении Субсидии заключается на соответствующий финансовый год и плановый период, в которых предоставляются субсидия.
Соглашение заключается после доведения до муниципального образования уведомления о предоставлении субсидии (ф. 0504320) в порядке, установленном Департаментом финансов Тюменской области.
Заключение соглашений о предоставлении субсидий местным бюджетам, предусмотренных законом об областном бюджете на очередной финансовый год и плановый период, осуществляется до 15 февраля очередного финансового года, за исключением соглашений о предоставлении субсидий, бюджетные ассигнования на предоставление которых предусмотрены в соответствии с законом о внесении изменений в закон об областном бюджете на очередной финансовый год и плановый период и которые заключаются не позднее 30 календарных дней после дня вступления в силу указанного закона.
Соглашение о предоставлении субсидии заключается на срок, который не может быть менее срока, на который в установленном порядке утверждено распределение субсидий между муниципальными образованиями.
В случае нарушения сроков, предусмотренных абзацем третьим настоящего пункта, бюджетные ассигнования, предусмотренные на текущий финансовый год на соответствующие цели, направляются на увеличение бюджетных ассигнований резервного фонда Правительства Тюменской области для оказания финансовой помощи местным бюджетам в размере субсидии, в отношении которой не заключено соглашение о ее предоставлении из областного бюджета, в порядке, установленном высшим исполнительным органом государственной власти субъекта Российской Федерации.
6.4. При заключении Соглашения муниципальным образованием предоставляется выписка из решения о бюджете и (или) сводной бюджетной росписи, подтверждающая объем средств, предусмотренных на реконструкцию и капитальный ремонт Объектов муниципальных дошкольных и общеобразовательных организаций, включая благоустройство их территорий, подготовку (корректировку) проектной документации и (или) выполнение инженерных изысканий для проведения работ по реконструкции и капитальному ремонту указанных Объектов, включая их территорию, государственной экспертизе проектной документации и (или) результатов инженерных изысканий по соответствующему разделу, подразделу, целевой статьи, виду расходов бюджетной классификации, в том числе пообъектно.
6.5. Подписанное Соглашение направляется муниципальному образованию не позднее одного рабочего дня со дня его подписания электронной подписью руководителем Управления или уполномоченным им лицом.
В течение 5 рабочих дней со дня поступления Соглашения в муниципальное образование Глава муниципального образования или уполномоченное им лицо подписывает Соглашение электронной подписью, после чего Соглашение направляется в Управление.
В случае неподписания Соглашения Главой муниципального образования или уполномоченным им лицом субсидия муниципальному образованию не предоставляется.
Ответственность за нарушение сроков подписания Соглашения несет муниципальное образование.
6.6. Основанием для внесения изменений в Соглашение является уменьшение сметной стоимости выполнения работ по реконструкции и капитальному ремонт Объектов Организаций, включая благоустройство их территорий, подготовке (корректировке) проектной документации и (или) выполнению инженерных изысканий для проведения работ по реконструкции и капитальному ремонту указанных Объектов, включая их территорию, государственной экспертизе проектной документации и (или) результатов инженерных изысканий, и (или) уменьшение цены контракта по результатам торгов на право его заключения.
Внесение изменений в Соглашение осуществляется по заявлению органа местного самоуправления, направленному Управлению с приложением документов, подтверждающих уменьшение сметной стоимости выполнения работ, в том числе по подготовке (корректировке) проектной документации.
В случае уменьшения сметной стоимости выполнения работ по реконструкции и капитальному ремонт Объектов Организаций, включая благоустройство их территорий, подготовке (корректировке) проектной документации и (или) выполнению инженерных изысканий для проведения работ по реконструкции и капитальному ремонту указанных Объектов, включая их территорию, государственной экспертизе проектной документации и (или) результатов инженерных изысканий, и (или) уменьшения цены контракта по результатам торгов на право его заключения, субсидия предоставляется в размере, определенном исходя из уровня софинансирования, предусмотренного Соглашением.
В случае увеличения в соответствующем финансовом году сметной стоимости выполнения работ, услуг, размер субсидии может быть увеличен законом о внесении изменений в закон об областном бюджете на текущий финансовый год и плановый период или при внесении изменений в распределение субсидий между бюджетами муниципальных образований в соответствии с разделом 10 настоящего Порядка, исходя из уровня софинансирования, предусмотренного Соглашением.
В случае увеличения размера предоставляемой субсидии, доля софинансирования расходного обязательства местного бюджета увеличивается пропорционально доле областного бюджета.
6.7. Заключение Соглашений или внесение в заключенные Соглашения изменений, предусматривающих превышение уровня софинансирования расходного обязательства муниципального образования из областного бюджета в целом по всем мероприятиям над предельным уровнем софинансирования расходного обязательства муниципального образования из областного бюджета утвержденным Правительством Тюменской области, не допускаются.
7. Порядок оценки результата использования субсидий, результат использования субсидии
7.1. Оценка результативности и эффективности предоставления субсидий осуществляется Управлением относительно значения результатов использования субсидий, фактически достигнутое муниципальным образованием по состоянию на 31 декабря года предоставления субсидии, к значению результатов использования субсидий, установленных Соглашением.
7.2. Результат использования субсидии: отношение количества Объектов, в отношении которых проведены соответствующие работы, к заявленному количеству Объектов. Значение результата устанавливается Соглашением.
7.3. Орган местного самоуправления обеспечивает предоставление в Управление отчетов по форме и в сроки, установленные Соглашением.
8. Порядок осуществления контроля за соблюдением условий, целей и порядка предоставления субсидий
Контроль за соблюдением муниципальными образованиями – получателями Субсидий (далее – объект контроля) условий и целей предоставления Субсидий осуществляется Уполномоченным органом в форме:
а) камеральных проверок, которые проводятся без выезда к месту нахождения объекта контроля. Контрольные мероприятия проводятся (по итогам за год) в течение 20 рабочих дней со дня принятия приказа о проведении проверки, который оформляется в срок не позднее 01 февраля года, следующего за годом, в котором была получена субсидия.
Результаты камеральной проверки оформляются заключением и подписываются руководителем контрольной группы в срок, не превышающий 3 рабочих дней со дня ее окончания. Заключение камеральной проверки в течение трех рабочих дней со дня его подписания вручается (направляется) представителю объекта контроля. Объект контроля вправе представить письменные возражения и замечания на заключение, оформленное по результатам камеральной проверки, в течение пяти рабочих дней со дня получения заключения. Письменные возражения и замечания объекта контроля проверки приобщаются к материалам проверки;
б) выездных проверок, которые проводятся по месту нахождения объекта контроля. Срок проведения выездной проверки не может превышать 20 рабочих дней со дня начала проверки, установленной приказом. В ходе выездной проверки проводятся контрольные действия по фактическому изучению документов об использовании Субсидий и фактического наличия поставленных товаров, выполненных работ, услуг. Результаты выездной проверки оформляются актом, который подписывается руководителем контрольной группы не позднее дня окончания выездной проверки. Акт проверки в день его подписания вручается (направляется) представителю объекта контроля.
Объект контроля вправе в течение 5 рабочих дней со дня получения акта проверки направить свои возражения и замечания руководителю контрольной группы, которые приобщаются к акту выездной проверки и являются его неотъемлемой частью. Заключение руководителя и (или) участника контрольной группы по поступившим возражениям и замечаниям направляется руководителям объектов контроля в течение 10 рабочих дней со дня получения возражений и замечаний.
Камеральные проверки проводятся во всех случаях осуществления проверки соблюдения получателями Субсидий целей и условий их предоставления.
Выездные проверки, за исключением случаев их проведения по поручениям Губернатора Тюменской области, Вице-Губернатора Тюменской области, заместителя Губернатора Тюменской области, координирующего и контролирующего деятельность Главного управления строительства Тюменской области, проводятся Уполномоченным органом в соответствии с формируемым им планом проверок.
Решение о проведении выездной проверки принимается начальником Главного управления строительства Тюменской области и оформляется приказом, в котором указываются наименование объекта контроля, тема выездной проверки, руководитель и состав должностных лиц, уполномоченных на проведение выездной проверки, срок проведения выездной проверки.
Основаниями для подготовки приказа о проведении выездной проверки являются:
а) план проверок на очередной финансовый год (далее – План проверок), который утверждается начальником Главного управления строительства Тюменской области до 25 декабря текущего года.
б) поступившие поручения от Губернатора Тюменской области, Вице-Губернатора Тюменской области, заместителя Губернатора Тюменской области (внеплановая проверка).
При формировании плана проверок необходимо учитывать:
информацию о планируемых (проводимых) органами государственного финансового контроля идентичных проверках в целях исключения их дублирования;
периодичность проведения выездных проверок, которая должна составлять не реже одного раза в три года.
Должностные лица Уполномоченного органа, осуществляющие выездную проверку, имеют право:
при проведении выездных проверок беспрепятственно по предъявлении копии приказа о проведении выездной проверки посещать территорию и помещения, которые занимают объекты контроля, в отношении которых осуществляется проверка, требовать предъявления поставленных товаров, результатов выполненных работ, услуг;
знакомиться с документами и материалами (как на бумажном носителе, так и хранящимися в электронной форме в базах данных объекта контроля), относящимися к предмету проверки;
в пределах своей компетенции запрашивать от руководителей и других должностных лиц объекта контроля представления письменных объяснений по фактам нарушений, выявленных при проведении проверки.
Должностные лица Уполномоченного органа обязаны:
своевременно и в полной мере исполнять предоставленные в соответствии с законодательством Российской Федерации полномочия по предупреждению, выявлению и пресечению нарушений в установленной сфере деятельности;
соблюдать требования нормативных правовых актов в установленной сфере деятельности;
знакомить руководителя или уполномоченное должностное лицо объекта контроля с копией приказа на проведение контрольного мероприятия, а также с результатами контрольных мероприятий (актами, заключениями);
сохранять государственную, служебную, коммерческую и иную охраняемую законом тайну, ставшую им известной при проведении контрольных мероприятий;
проводить контрольные мероприятия объективно и достоверно отражать их результаты в соответствующих актах и заключениях.
Должностные лица Уполномоченного органа, осуществляющие проверки, несут ответственность в соответствии с законодательством Российской Федерации.
Должностные лица Уполномоченного органа, осуществляющие проверки, не вправе вмешиваться в оперативно-хозяйственную деятельность проверяемых получателей Субсидий, а также разглашать информацию, полученную при проведении проверок, предавать гласности свои выводы до завершения проверок и составления соответствующих актов и заключений.
По результатам проверок объектам контроля направляются предложения по устранению выявленных нарушений, привлечению к ответственности лиц, допустивших нарушения. Предложения направляются за подписью начальника управления жилищной политики Главного управления строительства Тюменской области в течение 10 рабочих дней со дня подписания акта (заключения) проверки.
Информация объекта контроля о принятых мерах по устранению выявленных в ходе проверки нарушений предоставляется в Уполномоченный орган не позднее 15 рабочих дней со дня получения предложений об устранении нарушений.
В случае нарушения условий предоставления Субсидий, невыполнения условий Соглашения или неустранения выявленных нарушений соответствующие средства подлежат возврату в доход областного бюджета в полном объеме в соответствии с бюджетным законодательством Российской Федерации.
В случае установления фактов нецелевого использования Субсидий полученные бюджетные средства подлежат возврату в доход областного бюджета в части использования на цели, не предусмотренные Порядком.
Уполномоченный орган в случае установления фактов нецелевого использования Субсидий, а также нарушения условий предоставления и расходования Субсидий не позднее 10 рабочих дней после подписания заключения камеральной проверки и (или) акта выездной проверки направляет объекту контроля уведомление по расчетам между бюджетами (форма по ОКУД 0504817, утвержденная приказом Минфина Российской Федерации от 30.03.2015 N 52н, далее – уведомление).
Объект контроля в течение 20 рабочих дней со дня получения уведомления производит возврат Субсидий в областной бюджет.
В случае не возврата Субсидий взыскание средств производится в судебном порядке в соответствии с законодательством Российской Федерации.
9. Основания и порядок применения мер финансовой
ответственности к муниципальному образованию
при невыполнении условий соглашения
9.1. Порядок и условия возврата средств из местного бюджета в областной бюджет в случае нарушения обязательств, предусмотренных Соглашением, а также основания для освобождения муниципального образования от применения мер финансовой ответственности установлены Правилами.
9.2. В случае нецелевого использования субсидии и (или) нарушения муниципальным образованием условий ее предоставления, в том числе невозврата средств в областной бюджет, к нему применяются меры бюджетного принуждения, предусмотренные бюджетным законодательством.
Решения о приостановлении перечисления (сокращения объема) субсидии бюджету муниципального образования не принимаются в случае, если условия предоставления субсидии были не выполнены в силу обстоятельств непреодолимой силы.
10. Порядок и условия внесения изменений в распределение субсидий между бюджетами муниципальных образований на соответствующий финансовый год
10.1. Распределение субсидий между муниципальными образованиями Тюменской области устанавливается законом Тюменской области об областном бюджете на очередной финансовый год и плановый период.
В случае перераспределения субсидий между муниципальными образованиями в текущем финансовом году такое перераспределение утверждается распоряжением Правительства Тюменской области.
10.2. В ходе реализации государственной программы возможно проведение дополнительного отбора при привлечении дополнительных средств федерального бюджета, высвобождении средств областного бюджета, увеличении объемов финансирования областного бюджета на реализацию государственной программы, а также в случае несоблюдения муниципальными образованиями настоящего Порядка.
10.3. Перераспределение утвержденных Законом об областном бюджете на очередной финансовый год и плановый период субсидий между муниципальными образованиями возможно в соответствии с распоряжениями Правительства Тюменской области в следующих случаях:
10.3.1. Полный или частичный отказ муниципального образования от средств субсидии, распределенных ему в соответствии с порядками предоставления субсидий, подтвержденный письмом от муниципального образования;
10.3.2. Полный или частичный возврат средств субсидии в связи с невыполнением или ненадлежащим выполнением муниципальным образованием в установленные сроки обязательств, предусмотренных Соглашением;
10.3.3. Экономии средств, сложившейся в результате определения поставщика (подрядчика, исполнителя) при осуществлении закупок товаров, работ, услуг для обеспечения муниципальных нужд и (или) в результате исполнения муниципального контракта (договора);
10.3.4. Нарушение муниципальным образованием условий Соглашения;
10.3.5. В иных случаях высвобождения средств субсидии после ее распределения.
10.4. Перераспределение субсидий осуществляется Управлением в соответствии с условиями предоставления субсидий и критериями отбора муниципальных образований для предоставления субсидий, предусмотренных разделами 2 - 5 настоящего Порядка.
Приложение
к Порядку
Утверждаю
Руководитель органа
местного самоуправления
(уполномоченное лицо)
подпись, Ф.И.О., дата
РАСЧЕТ стоимости реконструкции (капитального ремонта или
благоустройства территории)
объекта ___________________________________________________
Начало работ: (месяц, год)
Окончание работ: (месяц, год)
N п/п |
Наименование работ и затрат |
Всего по объекту |
Потребность в софинансировании |
Примечание |
||||||
Сметная стоимость в ценах 2001 года (тыс. руб.) |
Выполнен, в ценах 2001 года (тыс. руб.) |
Остаток, в ценах 2001 года (тыс. руб.) |
Индекс |
Остаток, в текущих ценах (тыс. руб.) |
Остаток, в ценах 2001 года (тыс. руб.) |
Индекс |
Остаток, в текущих ценах (тыс. руб.) |
|
||
1 |
2 |
3 |
4 |
5 |
6 |
7 |
8 |
9 |
10 |
11 |
|
|
Глава 1. Подготовка территории |
|
|
|
|
|
|
|
|
|
ЛС N 1 |
|
|
|
|
|
|
|
|
|
|
|
|
Итого по главе 1 |
|
|
|
|
|
|
|
|
|
|
|
Глава 2. Основные объекты |
|
|
|
|
|
|
|
|
|
|
|
..... |
|
|
|
|
|
|
|
|
|
|
|
Всего: |
|
|
|
|
|
|
|
|
|
Расчет составляется в тысячах рублей, с указанием примененного индекса
изменения сметной стоимости для перехода в текущий уровень цен
Исполнитель: __________________________________________________________
(подпись, Ф.И.О.)
Дата составления расчета стоимости реконструкции
(капитального ремонта, благоустройства территории): ___________________
