Постановление Правительства Тюменской области от 08.12.2022 N 919-п "О внесении изменений в постановление от 02.03.2020 N 101-п"

ПРАВИТЕЛЬСТВО ТЮМЕНСКОЙ ОБЛАСТИ
ПОСТАНОВЛЕНИЕ
08 декабря 2022 г. | N | 919-п |
г. Тюмень
О внесении изменений в постановление от 02.03.2020 N 101-п |
|
В приложение к постановлению Правительства Тюменской области от 02.03.2020 N 101-п "Об утверждении порядка определения объема и предоставления субсидий из областного бюджета некоммерческим организациям, не являющимся государственными учреждениями, учредителем которых является Тюменская область, осуществляющим деятельность по сопровождению реализации научных и образовательных проектов» внести следующие изменения:
1. В пункте 1 слово «показателей» заменить словами «характеристик (показателей, необходимых для достижения результата предоставления субсидии) (далее — характеристики)».
2. В пункте 3 слово «государственной» исключить.
3. В пункте 6 слова «при формировании проекта закона о бюджете (проекта закона о внесении изменений в закон о бюджете)» заменить словами «не позднее 15-го рабочего дня, следующего за днем принятия закона о бюджете (закона о внесении изменений в закон о бюджете)».
4. Подпункт «г» пункта 9 изложить в следующей редакции:
«г) документы, подтверждающие оплату произведенных расходов (при предоставлении субсидии на возмещение затрат) с перечнем произведенных затрат;».
5. В абзаце пятом пункта 10 слова «фактически понесенные расходы, перечня произведенных затрат и уточненного перечня затрат, на финансовое обеспечение которых предоставляется субсидия» заменить словами «оплату произведенных расходов с перечнем произведенных затрат и уточненного перечня затрат, на финансовое обеспечение которых предоставляется субсидия».
6. В подпункте 14.4 пункта 14 слова «и показателей, необходимых для достижения результатов предоставления субсидии» исключить.
7. Пункт 15 изложить в следующей редакции:
«15. Результатами предоставления субсидии и характеристиками являются:
а) в отношении субсидий, предусмотренных подпунктом «а» пункта 2 настоящего Порядка:
результат - проведены мероприятия, направленные на содействие реализации научных и образовательных проектов, в том числе в рамках программы деятельности Западно-Сибирского межрегионального научно-образовательного центра мирового уровня, в соответствии с планом проведения мероприятий, указанным в пункте 9 настоящего Порядка, в соответствующем календарном году;
характеристики – наличие аналитической записки по результатам проведения мероприятий, направленных на содействие реализации научных и образовательных проектов, в том числе в рамках программы деятельности Западно-Сибирского межрегионального научно-образовательного центра мирового уровня, в соответствии с планом проведения мероприятий, указанным в пункте 9 настоящего Порядка, в соответствующем календарном году;
б) в отношении субсидий, предусмотренных подпунктом «б» пункта 2 настоящего Порядка:
результат - проведена экспертиза заявок, представленных на конкурс по отбору научных исследований, финансирование которых планируется осуществлять за счет средств областного бюджета; проведена экспертиза отчетов о реализации научных исследований (научных проектов), финансирование которых осуществляется за счет средств областного бюджета;
характеристики:
наличие экспертных заключений по результатам экспертизы заявок, представленных на конкурс по отбору научных исследований, финансирование которых планируется осуществлять за счет средств областного бюджета;
наличие экспертных заключений по результатам экспертизы отчетов о реализации научных исследований (научных проектов), финансирование которых осуществляется за счет средств областного бюджета.
Значения результатов предоставления субсидии, характеристики устанавливаются в соглашении (с указанием точной даты завершения и конечного значения результата).
Результат предоставления субсидии должен соответствовать типам результатов предоставления субсидии, определенным в соответствии с установленным Министерством финансов Российской Федерации порядком проведения мониторинга достижения результатов предоставления субсидии.».
8. Абзац первый пункта 26 изложить в следующей редакции:
«26. При предоставлении субсидии на финансовое обеспечение расходов и (или) возмещение затрат получатель субсидии обязан предоставлять уполномоченному органу отчет о достижении значений результатов предоставления субсидии, характеристик. При предоставлении субсидии на финансовое обеспечение расходов получатель субсидии обязан дополнительно предоставить отчет о расходах, источником финансового обеспечения которых является субсидия.».
9. В пункте 27 слова «показателей, необходимых для достижения результатов предоставления субсидии,» заменить словом «характеристик».
10. Пункт 30 изложить в следующей редакции:
«30. В случае нарушения условий, установленных подпунктом 14.1 пункта 14 настоящего Порядка, полученные средства субсидии подлежат возврату в областной бюджет в части их нецелевого использования.
В случае нарушения порядка предоставления субсидии и условий, установленных подпунктами 14.2 и 14.3 пункта 14 настоящего Порядка, полученные средства субсидии подлежат возврату в областной бюджет в объеме выявленных нарушений.
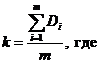
В случае недостижения значения результатов предоставления субсидии, субсидия подлежит возврату. Размер средств субсидии, подлежащих возврату, определяется по формуле:
![]()
Рвозвр - размер средств субсидии, подлежащих возврату;
Рсуб - размер предоставленной субсидии;
k - коэффициент возврата субсидии;
m - количество характеристик, установленных соглашением;
n - общее количество характеристик предоставления субсидии, установленных соглашением.
Коэффициент возврата субсидии рассчитывается по формуле:

Di - индекс, отражающий уровень недостижения характеристики предоставления субсидии.
При расчете коэффициента возврата субсидии используются только положительные значения индекса, отражающего уровень недостижения характеристики предоставления субсидии.
Индекс, отражающий уровень недостижения характеристики предоставления субсидии, определяется:
![]()
Ti — фактическая характеристика предоставления субсидии;
Si — плановая характеристика предоставления субсидии, необходимая для достижения результата предоставления субсидии, установленная соглашением.».
Губернатор области А.В. Моор
